Go to previous page Go up Go to next page

10.1 The binary’s multipole moments

The general expressions of the source multipole moments given by Theorem 6, Equations (85View Equation), are first to be worked out explicitly for general fluid systems at the 3PN order. For this computation one uses the formula (91View Equation), and we insert the 3PN metric coefficients (in harmonic coordinates) expressed in Equations (115View Equation) by means of the retarded-type elementary potentials (117View Equation, 118View Equation, 119View Equation). Then we specialize each of the (quite numerous) terms to the case of point-particle binaries by inserting, for the matter stress-energy tensor T ab, the standard expression made out of Dirac delta-functions. The infinite self-field of point-particles is removed by means of the Hadamard regularization; and dimensional regularization is used to compute the few ambiguity parameters (see Section 8). This computation has been performed in [49Jump To The Next Citation Point] at the 1PN order, and in [33] at the 2PN order; we report below the most accurate 3PN results obtained in Refs. [45Jump To The Next Citation Point443132].

The difficult part of the analysis is to find the closed-form expressions, fully explicit in terms of the particle’s positions and velocities, of many non-linear integrals. We refer to [45Jump To The Next Citation Point] for full details; nevertheless, let us give a few examples of the type of technical formulas that are employed in this calculation. Typically we have to compute some integrals like

(n,p) 1 integral p YL (y1,y2) = ----F P d3x ^xLrn1 r2, (216) 2p
where r1 = |x - y1| and r2 = |x - y2|. When n > - 3 and p > - 3, this integral is perfectly well-defined (recall that the finite part FP deals with the bound at infinity). When n < -3 or p < - 3, our basic ansatz is that we apply the definition of the Hadamard partie finie provided by Equation (124View Equation). Two examples of closed-form formulas that we get, which do not necessitate the Hadamard partie finie, are (quadrupole case l = 2)
(-1,- 1) r12[ <ij> <i j> <ij>] Yij = --- y 1 + y1 y 2 + y2 , 3 [ ( ) ] [ ( ) ] [ ( ) (]217) (-2,- 1) <ij> 16- r12 188- <i j> 8-- r12- -4-- <ij> 2- r12 -2- Yij = y1 15 ln r - 225 + y1 y2 15 ln r - 225 + y2 5 ln r - 25 . 0 0 0
We denote for example <ij> <i j> y1 = y1 y1 (and r12 = r|y1- y2|); the constant r0 is the one pertaining to the finite-part process (see Equation (36View Equation)). One example where the integral diverges at the location of the particle 1 is
(-3,0) [ ( ) ] Yij = 2 ln s1 + 16- y<ij>, (218) r0 15 1
where s1 is the Hadamard-regularization constant introduced in Equation (124View Equation)37.

The crucial input of the computation of the flux at the 3PN order is the mass quadrupole moment Iij, since this moment necessitates the full 3PN precision. The result of Ref. [45Jump To The Next Citation Point] for this moment (in the case of circular orbits) is

( 3 2 2 ) ( ) Iij = m A x<ij> + B -r12-v<ij> + 48-G--m-n-x<ivj> + O 1- , (219) Gm 7 c5r12 c7
where we pose i i xi = x =_ y12 and i i vi = v =_ v12. The third term is the 2.5PN radiation-reaction term, which does not contribute to the energy flux for circular orbits. The two important coefficients are A and B, whose expressions through 3PN order are
( ) ( ) 1 13 2 461 18395 241 2 A = 1 + g - 42- 14n + g - 1512- - -1512-n - 1512-n { 395899 428 (r ) [139675 44 88 44 (r )] +g3 ------- - ----ln -12 + ------- - ---q- --k - ---ln -12' n 13200 105 r0 33264 3 3 3 r0 } + 162539-n2 + -2351-n3 , (220) 16632 33264 ( ) ( ) 11- 11- 2 1607- 1681- 229-2 B = g 21 - 7 n + g 378 - 378 n + 378n ( 357761 428 (r12 ) [ 75091 44 ] 35759 457 ) +g3 - -------+ ----ln --- + - ------+ --z n + ------n2 + -----n3 . 19800 105 r0 5544 3 924 5544
These expressions are valid in harmonic coordinates via the post-Newtonian parameter g given by Equation (188View Equation). As we see, there are two types of logarithms in the moment: One type involves the length scale ' r0 related by Equation (184View Equation) to the two gauge constants ' r1 and ' r2 present in the 3PN equations of motion; the other type contains the different length scale r0 coming from the general formalism of Part A - indeed, recall that there is a F P operator in front of the source multipole moments in Theorem 6. As we know, that r'0 is pure gauge; it will disappear from our physical results at the end. On the other hand, we have remarked that the multipole expansion outside a general post-Newtonian source is actually free of r0, since the r0’s present in the two terms of Equation (67View Equation) cancel out. We shall indeed find that the constants r0 present in Equations (220View Equation) are compensated by similar constants coming from the non-linear wave “tails of tails”. Finally, the constants q, k, and z are the Hadamard-regularization ambiguity parameters which take the values (136View Equation).

Besides the 3PN mass quadrupole (219View Equation, 220View Equation), we need also the mass octupole moment Iijk and current quadrupole moment Jij, both of them at the 2PN order; these are given by [45Jump To The Next Citation Point]

[ ( )] dm 2 139 11923 29 2 Iijk = m m--^xijk - 1 + gn + g 330- + -660--n + 110-n dm r2 [ ( 1066 1433 21 )] ( 1 ) + m ---x<ivjk>-12 - 1 + 2n + g - -----+ ----n - --n2 + O -- , (221) m c2 165 330 55 c5 [ ( ) ( )] ( ) J = m dm-e x v - 1 + g - 67-+ 2-n + g2 - 13-+ 4651-n + -1--n2 + O 1- . ij m ab<i j>a b 28 7 9 252 168 c5
Also needed are the 1PN mass 4 2-pole, 1PN current 3 2-pole (octupole), Newtonian mass 5 2-pole and Newtonian current 4 2-pole:
[ ( 3 25 69 )] 78 r2 ( 1 ) Iijkl = m ^xijkl 1- 3n + g ----- --n + --n2 + --m x<ijvkl>-122(1- 5n + 5n2) + O -3 , 110 22 22 55 c c [ ( )] 2 J = m e x v 1- 3n + g 181-- 109-n + 13n2 + -7-m (1 - 5n + 5n2)e v x r12 ijk ab<i jk>a b 90 18 18 45 ab<i jk>b ac2 ( ) 1- + O c3 , (222) dm (1 ) Iijklm = m ---(- 1 + 2n)^xijklm + O -- , m c ( ) Jijkl = m dm-(- 1 + 2n)eab<ixjkl>avb + O 1- . m c

These results permit one to control what can be called the “instantaneous” part, say Linst, of the total energy flux, by which we mean that part of the flux that is generated solely by the source multipole moments, i.e. not counting the “non-instantaneous” tail integrals. The instantaneous flux is defined by the replacement into the general expression of L given by Equation (60View Equation) of all the radiative moments UL and VL by the corresponding (lth time derivatives of the) source moments IL and JL. Actually, we prefer to define Linst by means of the intermediate moments ML and SL. Up to the 3.5PN order we have

{ [ ] [ ] L = G- 1M(3)M(3) + -1 --1-M(4)M(4) + 16S(3)S(3) + 1- --1--M(5) M(5) + -1-S(4)S(4) inst c5 5 ij ij c2 189 ijk ijk 45 ij ij c4 9072 ijkm ijkm 84 ijk ijk 1 [ 1 4 ] ( 1 )} + -- -------M(6ij)kmnM(6i)jkmn + ------S(i5jk)mS(5i)jkm + O -- . (223) c6 594000 14175 c8
The time derivatives of the source moments (219View Equation, 220View Equation, 221View Equation, 222View Equation) are computed by means of the circular-orbit equations of motion given by Equation (189View Equation, 190View Equation); then we substitute them into Equation (223View Equation)38. The net result is
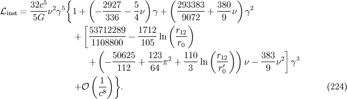
{ ( ) ( ) 32c5 2 5 2927 5 293383 380 2 Linst = ----n g 1 + - ------ -n g + ------- + ----n g 5G [ 336 4 ( 90)72 9 53712289- 1712- r12 + 1108800 - 105 ln r0 ( ( )) ] + - 50625- + 123-p2 + 110-ln r12 n - 383-n2 g3 112 64 3 r'0 9 ( 1 )} +O -8 . (224) c
The Newtonian approximation, LN = (32c5/5G) n2g5, is the prediction of the Einstein quadrupole formula (4View Equation), as computed by Landau and Lifchitz [153]. In Equation (224View Equation), we have replaced the Hadamard regularization ambiguity parameters c and h arising at the 3PN order by their values (135View Equation) and (137View Equation).
  Go to previous page Go up Go to next page