Go to previous page Go up Go to next page

7 The Third Post-Newtonian Metric

The detailed calculations that are called for in applications necessitate having at one’s disposal some explicit expressions of the metric coefficients gab, in harmonic coordinates, at the highest possible post-Newtonian order. The 3PN metric that we present below20 is expressed by means of some particular retarded-type potentials, V, Vi, ^Wij, etc., whose main advantages are to somewhat minimize the number of terms, so that even at the 3PN order the metric is still tractable, and to delineate the different problems associated with the computation of different categories of terms. Of course, these potentials have no physical significance by themselves. The basic idea in our post-Newtonian iteration is to use whenever possible a “direct” integration, with the help of some formulas like [] -1(@mV @mV + V []V ) = V 2/2 ret. The 3PN harmonic-coordinates metric (issued from Ref. [38Jump To The Next Citation Point]) reads
2 2 8 ( V3 ) 32 ( 1 1 1 ) g00 = - 1 + -2V - -4V 2 + -6 X^ + ViVi + --- + -8- ^T - --V ^X + R^iVi - -V ViVi- --V 4 ( c ) c c 6 c 2 2 48 -1- +O c10 , 4 8 16 ( 1 1 ) ( 1 ) g0i = --3Vi - -5R^i - -7- Y^i + --^WijVj + --V2Vi + O -9 , (115) c c c 2 2 c [ ( 3)] ( ) gij = dij 1 + -2V + -2V 2 + 8- X^ + VkVk + V-- + -4W^ij + 16- Z^ij + 1-VW^ij - ViVj c2 c4 c6 6 c4 c6 2 ( 1 ) +O -8 . c
All the potentials are generated by the matter stress-energy tensor T ab through the definitions (analogous to Equations (86View Equation))
00 ii s = T---+-T--, c2 T 0i si = ---, (116) c sij = Tij.
V and Vi represent some retarded versions of the Newtonian and gravitomagnetic potentials,
-1 V = [] ret [- 4pGs] , -1 (117) Vi = [] ret [- 4pGsi] .
From the 2PN order we have the potentials
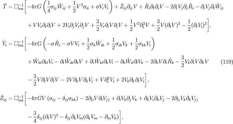
[ ] -1 2 3 2 ^X = [] ret - 4pGV sii + W^ij@ijV + 2Vi@t@iV + V @tV + 2(@tV ) - 2@iVj@jVi , [ 3 ] R^i = [] -re1t - 4pG(V si- Vis)- 2@kV @iVk- -@tV @iV , (118) 2 -1 W^ij = [] ret [-4pG(sij - dijskk) - @iV @jV ].
Some parts of these potentials are directly generated by compact-support matter terms, while other parts are made of non-compact-support products of V-type potentials. There exists also a very important cubically non-linear term generated by the coupling between W^ij and V, the second term in the X^-potential. At the 3PN level we have the most complicated of these potentials, namely
[ ( ) -1 1 1 2 ^T = [] ret -4pG 4sij ^Wij + 2-V sii + sViVi + Z^ij@ijV + R^i@t@iV - 2@iVj@jR^i - @iVj@tW^ij 3 1 3 1 ] + V Vi@t@iV + 2Vi@jVi@jV + -Vi@tV @iV + --V 2@2tV + --V (@tV )2- -(@tVi)2 , 2 2 2 2 [ ( ) Y^ = [] -1 -4pG -s ^R - sV V + 1s ^W + 1-s V + 1s V i ret i i 2 k ik 2 ik k 2 kk i ^ ^ ^ ^ ^ 3- + Wkl@klVi - @tWik@kV + @iWkl@kVl - @k Wil@lVk- 2@kV @iRk - 2 Vk@iV @kV (119) ] 3 2 - 2-V@tV @iV - 2V @kV @kVi + V @tVi + 2Vk@k@tVi , [ Z^ij = [] -r1et -4pGV (sij - dijskk) - 2@(iV @tVj) + @iVk@jVk + @kVi@kVj - 2@(iVk@kVj) ] - 3-d (@ V )2 - d @ V (@ V - @ V ) , 4 ij t ij k m k m m k
which involve many types of compact-support contributions, as well as quadratic-order and cubic-order parts; but, surprisingly, there are no quartically non-linear terms21.

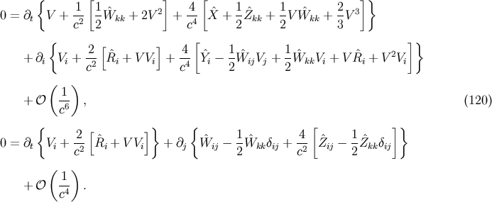
The above potentials are not independent. They are linked together by some differential identities issued from the harmonic gauge conditions, which are equivalent, via the Bianchi identities, to the equations of motion of the matter fields (see Equation (17View Equation)). These identities read

{ [ ] [ ]} 1 1 2 4 1 1 2 3 0 = @t V + c2- 2-^Wkk + 2V + c4- X^ + 2-^Zkk + 2V W^kk + 3V { 2 [ ] 4 [ 1 1 ]} + @i Vi + -2 R^i + V Vi + -4 ^Yi- -W^ijVj + -W^kkVi + V ^Ri + V 2Vi c c 2 2 ( ) + O 1- , (120) c6 { } { [ ]} 2-[^ ] ^ 1-^ 4- ^ 1^ 0 = @t Vi + c2 Ri + V Vi + @j Wij - 2 Wkkdij + c2 Zij- 2Zkkdij ( 1 ) + O -4 . c

It is important to remark that the above 3PN metric represents the inner post-Newtonian field of an isolated system, because it contains, to this order, the correct radiation-reaction terms corresponding to outgoing radiation. These terms come from the expansions of the retardations in the retarded-type potentials (117View Equation, 118View Equation, 119View Equation).


  Go to previous page Go up Go to next page