Go to previous page Go up Go to next page

9.4 Equations of motion and energy for circular orbits

Most inspiralling compact binaries will have been circularized by the time they become visible by the detectors LIGO and VIRGO. In the case of orbits that are circular - apart from the gradual 2.5PN radiation-reaction inspiral - the complicated equations of motion simplify drastically, since we have r = (nv) = O(1/c5), and the remainder can always be neglected at the 3PN level. In the case of circular orbits, up to the 2.5PN order, the relation between center-of-mass variables and the relative ones reads [16Jump To The Next Citation Point]33
[ ] 2 2 ( ) m yi = xi m2 + 3g2ndm - 4-G--m--ndm-vi + O 1- , 1 5 rc5 c6 ( ) (187) i i[ 2 ] 4-G2m2ndm--- i 1- m y2 = x -m1 + 3g ndm - 5 rc5 v + O c6 .
To display conveniently the successive post-Newtonian corrections, we employ the post-Newtonian parameter
( ) Gm-- -1 g =_ rc2 = O c2 . (188)
Notice that there are no corrections of order 1PN in Equations (187View Equation) for circular orbits; the dominant term is of order 2PN, i.e. proportional to g2 = O(1/c4).

The relative acceleration i i i a =_ a1 - a2 of two bodies moving on a circular orbit at the 3PN order is then given by

3 3 ( ) i 2 i 32-G--m-n- i 1- a = - w x - 5 c5r4 v + O c7 , (189)
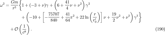
where i i i x =_ y1- y 2 is the relative separation (in harmonic coordinates) and w denotes the angular frequency of the circular motion. The second term in Equation (189View Equation), opposite to the velocity vi =_ vi1 - vi2, is the 2.5PN radiation reaction force (we neglect here its 3.5PN extension), which comes from the reduction of the coefficient of 1/c5 in Equations (182View Equation, 183View Equation). The main content of the 3PN equations (189View Equation) is the relation between the frequency w and the orbital separation r, that we find to be given by the generalized version of Kepler’s third law [37Jump To The Next Citation Point38Jump To The Next Citation Point]:
{ ( ) 2 Gm-- 41- 2 2 w = r3 1 + (- 3 + n)g + 6 + 4 n + n g ( [ ( )] ) } + - 10 + - 75707-+ 41p2 + 22 ln -r n + 19n2 + n3 g3 840 64 r'0 2 ( 1 ) + O -8 . (190) c
The length scale r' 0 is given in terms of the two gauge-constants r' 1 and r' 2 by Equation (184View Equation). As for the energy, it is immediately obtained from the circular-orbit reduction of the general result (170View Equation). We have
2 { ( ) ( ) E = - mc-g- 1 + - 7+ 1n g + - 7-+ 49n + 1-n2 g2 2 4 4 8 8 8 ( 235 [46031 123 22 ( r )] 27 5 ) } + - ----+ ------- ---p2 + ---ln -' n + ---n2 + --n3 g3 ( ) 64 2240 64 3 r0 32 64 1- + O c8 . (191)
This expression is that of a physical observable E; however, it depends on the choice of a coordinate system, as it involves the post-Newtonian parameter g defined from the harmonic-coordinate separation r12. But the numerical value of E should not depend on the choice of a coordinate system, so E must admit a frame-invariant expression, the same in all coordinate systems. To find it we re-express E with the help of a frequency-related parameter x instead of the post-Newtonian parameter g. Posing
(G m w)2/3 ( 1 ) x =_ ---3-- = O -2 , (192) c c
we readily obtain from Equation (190View Equation) the expression of g in terms of x at 3PN order,
{ ( n) ( 65 ) g = x 1 + 1 - -- x + 1 - --n x2 ( [ 3 12 ( )] ) 2203- 41-- 2 22- r-- 229- 2 1--3 3 + 1 + - 2520 - 192p - 3 ln r' n + 36 n + 81n x ( )} 0 + O -1 , (193) c8
that we substitute back into Equation (191View Equation), making all appropriate post-Newtonian re-expansions. As a result, we gladly discover that the logarithms together with their associated gauge constant ' r0 have cancelled out. Therefore, our result is
2 { ( ) ( ) E = - mc-x- 1 + - 3- -1n x + - 27-+ 19n - 1-n2 x2 2 4 12 8 8 24 ( [ ] ) } + - 675-+ 34445-- 205-p2 n - 155n2 - --35-n3 x3 64 576 96 96 5184 ( 1 ) +O -8 . (194) c
For circular orbits one can check that there are no terms of order x7/2 in Equation (194View Equation), so our result for E is actually valid up to the 3.5PN order.
  Go to previous page Go up Go to next page