Go to previous page Go up Go to next page

9.3 Equations of motion in the center-of-mass frame

In this section we translate the origin of coordinates to the binary’s center-of-mass by imposing that the binary’s dipole Ii = 0 (notation of Part A). Actually the dipole moment is computed as the center-of-mass conserved integral associated with the boost symmetry of the 3PN equations of motion and Lagrangian [103Jump To The Next Citation Point43Jump To The Next Citation Point]. This condition results in the (3PN-accurate, say) relationship between the individual positions in the center-of-mass frame yi1 and yi2, and the relative position xi =_ yi1 - yi2 and velocity vi =_ vi1- vi2 = dxi/dt (formerly denoted yi12 and vi12). We shall also use the orbital separation r =_ |x|, together with n = x/r and r =_ n .v. Mass parameters are the total mass m = m1 + m2 (m =_ M in the notation of Part A), the mass difference dm = m1 - m2, the reduced mass m = m1m2/m, and the very useful symmetric mass ratio
m m1m2 n =_ -- =_ ----------2. (180) m (m1 + m2)
The usefulness of this ratio lies in its interesting range of variation: 0 < n < 1/4, with n = 1/4 in the case of equal masses, and n --> 0 in the “test-mass” limit for one of the bodies.

The 3PN and even 3.5PN center-of-mass equations of motion are obtained by replacing in the general-frame 3.5PN equations of motion (168View Equation) the positions and velocities by their center-of-mass expressions, applying as usual the order-reduction of all accelerations where necessary. We write the relative acceleration in the center-of-mass frame in the form

( ) dvi Gm [ i i] 1 --- = - --2- (1 + A) n + B v + O -8 , (181) dt r c
and find [43Jump To The Next Citation Point] that the coefficients A and B are
A = ... (182) B = ... (183)


Up to the 2.5PN order the result agrees with the calculation of [155]. The 3.5PN term is issued from Refs. [136Jump To The Next Citation Point137Jump To The Next Citation Point138174148164]. At the 3PN order we have some gauge-dependent logarithms containing a constant r'0 which is the “logarithmic barycenter” of the two constants r'1 and r'2:
ln r'0 = X1 ln r'1 + X2 ln r'2. (184)
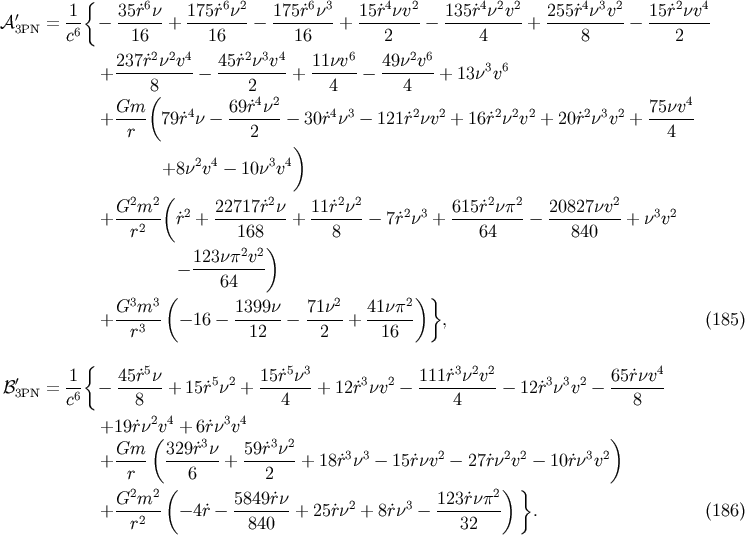
The logarithms in Equations (182View Equation, 183View Equation), together with the constant ' r0 therein, can be removed by applying the gauge transformation (169View Equation), while still staying within the class of harmonic coordinates. The resulting modification of the equations of motion will affect only the coefficients of the 3PN order in Equations (182View Equation, 183View Equation), let us denote them by A3PN and B3PN. The new values of these coefficients, say A' 3PN and B' 3PN, obtained after removal of the logarithms by the latter harmonic gauge transformation, are then [161Jump To The Next Citation Point]
1 { 35r6n 175r6n2 175r6n3 15r4nv2 135r4n2v2 255r4n3v2 15r2nv4 A'3PN = -6 - ------+ --------- -------- + --------- ----------+ ----------- -------- c 16 16 16 2 4 8 2 237r2n2v4- 45r2n3v4- 11nv6- 49n2v6- 3 6 + 8 - 2 + 4 - 4 + 13n v ( 4 2 4 + Gm-- 79r4n - 69r-n--- 30r4n3 - 121r2nv2 + 16r2n2v2 + 20r2n3v2 + 75nv-- r 2 4 ) +8n2v4 - 10n3v4 ( G2m2-- 2 22717r2n- 11r2n2- 2 3 615r2np2- 20827nv2- 3 2 + r2 r + 168 + 8 - 7r n + 64 - 840 + n v 2 2) - 123np--v- 64 3 3 ( 2 2)} + G-m--- - 16 - 1399n-- 71n-- + 41np-- , (185) r3 12 2 16 1 { 45r5n 15r5n3 111r3n2v2 65rnv4 B'3PN = -6 - ------+ 15r5n2 + -------+ 12r3nv2 - ----------- 12r3n3v2 - ------- c 8 4 4 8 +19rn2v4 + 6rn3v4 Gm (329r3n 59r3n2 ) + ---- -------+ -------+ 18r3n3 - 15rnv2 - 27rn2v2 - 10rn3v2 r ( 6 2 ) } G2m2-- 5849rn- 2 3 123rnp2- + r2 - 4r - 840 + 25rn + 8rn - 32 . (186)
These gauge-transformed coefficients are useful because they do not yield the usual complications associated with logarithms. However, they must be handled with care in applications such as [161], since one must ensure that all other quantities in the problem (energy, angular momentum, gravitational-wave fluxes, etc.) are defined in the same specific harmonic gauge avoiding logarithms. In the following we shall no longer use the coordinate system leading to Equations (185View Equation, 186View Equation). Therefore all expressions we shall derive below, notably all those concerning the radiation field, are valid in the “standard” harmonic coordinate system in which the equations of motion are given by Equation (168View Equation) or (182View Equation, 183View Equation).
  Go to previous page Go up Go to next page