Go to previous page Go up Go to next page

5.4 The source multipole moments

In principle the bridge between the exterior gravitational field generated by the post-Newtonian source and its inner field is provided by Theorem 5; however, we still have to make the connection with the explicit construction of the general multipolar and post-Minkowskian metric in Sections 3 and 4. Namely, we must find the expressions of the six STF source multipole moments IL, JL, ...,ZL parametrizing the linearized metric (26View Equation, 27View Equation, 28View Equation) at the basis of that construction12.

To do this we first find the equivalent of the multipole expansion given in Theorem 5, which was parametrized by non-trace-free multipole functions HaLb (u), in terms of new multipole functions FaLb (u) that are STF in all their indices L. The result (which follows from Equation (B.14a) in [28]) is

sum + oo l { } M(hab) = FP []- 1[M(/\ab)] - 4G- (--)-@L 1-F ab(t- r/c) , (80) ret c4 l! r L l=0
where the STF multipole functions (witness the multipolar factor ^xL =_ STF[xL]) read
integral integral 1 Fab (u) = F P d3x ^x dz d(z) tab(x,u + z|x|/c). (81) L L -1 l
Notice the presence of an extra integration variable z, ranging from - 1 to 1. The z-integration involves the weighting function13
(2l + 1)!! dl(z) = ---l+1----(1- z2)l, (82) 2 l!
which is normalized in such a way that
integral 1 dz dl(z) = 1. (83) - 1
The next step is to impose the harmonic-gauge conditions (12View Equation) onto the multipole decomposition (80View Equation), and to decompose the multipole functions FaLb (u) into STF irreducible pieces with respect to both L and their space-time indices ab. This technical part of the calculation is identical to the one of the STF irreducible multipole moments of linearized gravity [89]. The formulas needed in this decomposition read
F0L0 = RL, FL0i = (+)TiL + eai<il(0)TL-1>a + di<il(-)TL-1>, (84) ij (+2) (+1) (0) F L = UijL + STLF STijF [eaiil UajL-1 + diil UjL- 1 +dii eaji (-1)UaL-2 + diidji (- 2)UL -2] + dijVL, l l- 1 l l-1
where the ten tensors RL, (+)TL+1,...,(-2)UL-2,VL are STF, and are uniquely given in terms of the F aLb’s by some inverse formulas. Finally, the latter decompositions lead to the following theorem.

Theorem 6 The STF multipole moments IL and JL of a post-Newtonian source are given, formally up to any post-Newtonian order, by (l > 2)

integral integral 1 { 3 ---4(2l-+-1)---- (1) IL(u) = F P d x -1dz dl^xLS - c2(l + 1)(2l + 3)dl+1x^iLS i } 2(2l + 1) (2) + -4--------------------dl+2^xijLSij (x, u + z| x |/c), (85) c (l + 1)(l + 2)(2l + 5) integral integral 1 { } JL(u) = F P d3x dz eab<i dl^xL-1>aSb - -----2l +-1-----dl+1 ^xL-1>acS(1) (x,u + z|x|/c). -1 l c2(l + 2)(2l + 3) bc
These moments are the ones that are to be inserted into the linearized metric ab h 1 that represents the lowest approximation to the post-Minkowskian field ab sum n ab hext = n>1 G h n defined in Section 4.

In these formulas the notation is as follows: Some convenient source densities are defined from the post-Newtonian expansion of the pseudo-tensor t ab by

-- -- t00 +-t-ii S = c2 , -0i S = t--, (86) i c --ij Sij = t
(where tii =_ dijt-ij). As indicated in Equations (85View Equation) these quantities are to be evaluated at the spatial point x and at time u + z| x |/c.

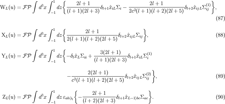
For completeness, we give also the formulas for the four auxiliary source moments WL, ...,ZL, which parametrize the gauge vector fa1 as defined in Equations (28View Equation):

{ } integral 3 integral 1 2l + 1 2l + 1 (1) WL(u) = FP d x dz --------------dl+1^xiLSi- --2--------------------dl+2^xijLSij , -1 (l + 1)(2l + 3) 2c (l + 1)(l + 2)(2l + 5) (87) integral integral 1 { 2l + 1 } XL(u) = FP d3x dz ---------------------dl+2^xijLSij , (88) -1 2(l + 1)(l + 2)(2l + 5) integral integral { 3 1 3(2l + 1) (1) YL(u) = FP d x dz - dl^xLSii + --------------dl+1^xiLS i -1 (l + 1)(2l + 3) } -------2(2l +-1)------ (2) - c2(l + 1)(l + 2)(2l + 5)dl+2^xijLSij , (89) integral integral 1 { } Z (u) = FP d3x dze - ----2l +-1----d ^x S . (90) L -1 ab<il (l + 2)(2l + 3) l+1 L-1>bc ac
As discussed in Section 4, one can always find two intermediate “packages” of multipole moments, ML and SL, which are some non-linear functionals of the source moments (85View Equation) and Equations (87View Equation, 88View Equation, 89View Equation, 90View Equation), and such that the exterior field depends only on them, modulo a change of coordinates (see, e.g., Equation (96View Equation) below).

In fact, all these source moments make sense only in the form of a post-Newtonian expansion, so in practice we need to know how to expand all the z-integrals as series when c-- > +o o. Here is the appropriate formula:

integral 1 + oo ( )2k sum ----(2l +-1)!!----- |x|-@-- -1dz dl(z)t(x,u + z|x|/c) = 2kk!(2l + 2k + 1)!! c @u t(x,u). (91) k=0
Since the right-hand side involves only even powers of 1/c, the same result holds equally well for the “advanced” variable u + z| x |/c or the “retarded” one u - z|x|/c. Of course, in the Newtonian limit, the moments IL and JL (and also ML, SL) reduce to the standard expressions. For instance, we have
( ) 1- IL(u) = QL(u) + O c2 , (92)
where QL is the Newtonian mass-type multipole moment (see Equation (3View Equation)). (The moments WL, ...,ZL have also a Newtonian limit, but it is not particularly illuminating.)

Needless to say, the formalism becomes prohibitively difficult to apply at very high post-Newtonian approximations. Some post-Newtonian order being given, we must first compute the relevant relativistic corrections to the pseudo stress-energy-tensor ab t (this necessitates solving the field equations inside the matter, see Section 5.5) before inserting them into the source moments (85View Equation, 86View Equation, 82View Equation, 83View Equation, 91View Equation, 87View Equation, 88View Equation, 89View Equation, 90View Equation). The formula (91View Equation) is used to express all the terms up to that post-Newtonian order by means of more tractable integrals extending over R3. Given a specific model for the matter source we then have to find a way to compute all these spatial integrals (we do it in Section 10 in the case of point-mass binaries). Next, we must substitute the source multipole moments into the linearized metric (26View Equation, 27View Equation, 28View Equation), and iterate them until all the necessary multipole interactions taking place in the radiative moments UL and VL are under control. In fact, we shall work out these multipole interactions for general sources in the next section up to the 3PN order. Only at this point does one have the physical radiation field at infinity, from which we can build the templates for the detection and analysis of gravitational waves. We advocate here that the complexity of the formalism reflects simply the complexity of the Einstein field equations. It is probably impossible to devise a different formalism, valid for general sources devoid of symmetries, that would be substantially simpler.


  Go to previous page Go up Go to next page