Go to previous page Go up Go to next page

6 Non-linear Multipole Interactions

We shall now show that the radiative mass-type quadrupole moment Uij includes a quadratic tail at the relative 1.5PN order (or 1/c3), corresponding to the interaction of the mass M of the source and its quadrupole moment Iij. This is due to the back-scattering of quadrupolar waves off the Schwarzschild curvature generated by M. Next, Uij includes a so-called non-linear memory integral at the 2.5PN order, due to the quadrupolar radiation of the stress-energy distribution of linear quadrupole waves themselves, i.e. of multipole interactions Iij× Ikl. Finally, we have also a cubic tail, or “tail of tail”, arising at the 3PN order, and associated with the multipole interaction M2 × Iij. The result for Uij is better expressed in terms of the intermediate quadrupole moment Mij already discussed in Section 4.2. This moment reads [16Jump To The Next Citation Point]
( ) 4G [ (2) (1) (1)] 1 Mij = Iij- -5- W Iij- W Iij + O -7 , (96) c c
where W means WL as given by Equation (87View Equation) in the case l = 0 (of course, in Equation (96View Equation) we need only the Newtonian value of W). The difference between the two moments Mij and Iij is a small 2.5PN quantity. Henceforth, we shall express many of the results in terms of the mass moments ML and the corresponding current ones SL. The complete formula for the radiative quadrupole, valid through the 3PN order, reads [21Jump To The Next Citation Point19Jump To The Next Citation Point]
integral [ ( ) ] (2) 2GM + oo (4) ct 11 Uij(U ) = M ij (U ) +---3- dt M ij (U - t) ln ---- + --- { c 0 2r0 12 G 2 integral + oo (3) (3) + -5 - -- dt M a<i(U - t )M j>a(U - t) c 7 0 } - 2-M(3)M(2) - 5-M(4)M(1) + 1-M(5)Mj >a + 1eab<iM(4) Sb 7 a<i j>a 7 a<i j>a 7 a<i 3 j>a 2 2 integral +o o [ ( ) ( ) ] + 2G-M--- dt M(5) (U - t) ln2 ct-- + 57-ln ct-- + 124627- c6 0 ij 2r0 70 2r0 44100 ( 1 ) + O -7 . (97) c
The retarded time in radiative coordinates is denoted U = T - R/c. The constant r0 is the one that enters our definition of the finite-part operation F P (see Equation (36View Equation)). The “Newtonian” term in Equation (97View Equation) contains the Newtonian quadrupole moment Qij (see Equation (92View Equation)). The dominant radiation tail at the 1.5PN order was computed within the present formalism in Ref. [29Jump To The Next Citation Point]. The 2.5PN non-linear memory integral - the first term inside the coefficient of G/c5 - has been obtained using both post-Newtonian methods [13222Jump To The Next Citation Point2132921Jump To The Next Citation Point] and rigorous studies of the field at future null infinity [71]. The other multipole interactions at the 2.5PN order can be found in Ref. [21Jump To The Next Citation Point]. Finally the “tail of tail” integral appearing at the 3PN order has been derived in this formalism in Ref. [19Jump To The Next Citation Point]. Be careful to note that the latter post-Newtonian orders correspond to “relative” orders when counted in the local radiation-reaction force, present in the equations of motion: For instance, the 1.5PN tail integral in Equation (97View Equation) is due to a 4PN radiative effect in the equations of motion [27]; similarly, the 3PN tail-of-tail integral is (presumably) associated with some radiation-reaction terms occuring at the 5.5PN order.

Notice that all the radiative multipole moments, for any l, get some tail-induced contributions. They are computed at the 1.5PN level in Appendix C of Ref. [15]. We find

integral [ ( ) ] ( ) (l) 2GM + oo (l+2) ct 1 UL(U ) = M L (U ) + --3-- dt M L (U - t ) ln ---- + kl + O -5 , c 0 2r0 c integral + oo [ ( ) ] ( ) (98) VL(U ) = S(lL)(U) + 2GM-- dt S(Ll+2)(U - t) ln ct-- + pl + O -1 , c3 0 2r0 c5
where the constants k l and p l are given by
2 l sum -2 kl = -2l--+-5l +-4- + 1, l(l + 1)(l + 2) k=1 k (99) l- 1 sum l- 11 pl = --------+ --. l(l + 1) k=1 k
Recall that the retarded time U in radiative coordinates is given by
( ) r 2GM r ( 2) U = t- -- ---3--ln -- + O G , (100) c c r0
where (t,r) are harmonic coordinates; recall the gauge vector qa1 in Equation (51View Equation). Inserting U as given by Equation (100View Equation) into Equations (98View Equation) we obtain the radiative moments expressed in terms of source-rooted coordinates (t,r), e.g.,
integral + oo [ ( ) ] ( ) UL = M(lL)(t- r/c) + 2GM-- dt M(lL+2)(t- t- r/c) ln ct- + kl + O -1 . (101) c3 0 2r c5
This expression no longer depends on the constant r 0 (i.e. the r 0 gets replaced by r)16. If we now change the harmonic coordinates (t,r) to some new ones, such as, for instance, some “Schwarzschild-like” coordinates (t',r') such that t'= t and r'= r + GM/c2, we get
(l) 2GM integral +o o (l+2) [ (ct ) ] ( 1 ) UL = M L (t'- r'/c) + --3-- dt M L (t'- t- r'/c) ln --' + k'l + O -5 , (102) c 0 2r c
where k'l = kl + 1/2. Therefore the constant kl (and pl as well) depends on the choice of source-rooted coordinates (t,r): For instance, we have k = 11/12 2 in harmonic coordinates (see Equation (97View Equation)), but ' k2 = 17/12 in Schwarzschild coordinates [50Jump To The Next Citation Point].

The tail integrals in Equations (97View Equation, 98View Equation) involve all the instants from - oo in the past up to the current time U. However, strictly speaking, the integrals must not extend up to minus infinity in the past, because we have assumed from the start that the metric is stationary before the date - T; see Equation (19View Equation). The range of integration of the tails is therefore limited a priori to the time interval [- T, U]. But now, once we have derived the tail integrals, thanks in part to the technical assumption of stationarity in the past, we can argue that the results are in fact valid in more general situations for which the field has never been stationary. We have in mind the case of two bodies moving initially on some unbound (hyperbolic-like) orbit, and which capture each other, because of the loss of energy by gravitational radiation, to form a bound system at our current epoch. In this situation we can check, using a simple Newtonian model for the behaviour of the quadrupole moment M (U - t) ij when t-- > +o o, that the tail integrals, when assumed to extend over the whole time interval [- oo, U], remain perfectly well-defined (i.e. convergent) at the integration bound t = + oo. We regard this fact as a solid a posteriori justification (though not a proof) of our a priori too restrictive assumption of stationarity in the past. This assumption does not seem to yield any physical restriction on the applicability of the final formulas.

To obtain the result (97View Equation), we must implement in details the post-Minkows-kian algorithm presented in Section 4.1. Let us outline here this computation, limiting ourselves to the interaction between one or two masses M =_ MADM =_ I and the time-varying quadrupole moment Mab(u) (that is related to the source quadrupole I (u) ab by Equation (96View Equation)). For these moments the linearized metric (26View Equation, 27View Equation, 28View Equation) reads

hab = hab + hab , (103) 1 (M) (Mab)
where the monopole part is nothing but the linearized piece of the Schwarzschild metric in harmonic coordinates,
00 -1 h(M) = - 4r M, 0i h(M) = 0, (104) ij h(M) = 0,
and the quadrupole part is
00 -1 h(Mab) = - 2@ab[r Mab(u)] , [ ] h0(Miab) = 2@a r-1M(1a)i (u) , (105) hij = - 2r-1M(2i)j (u). (Mab)
(We pose c = 1 until the end of this section.) Consider next the quadratically non-linear metric hab2 generated by these moments. Evidently it involves a term proportional to M2, the mixed term corresponding to the interaction M × M ab, and the self-interaction term of M ab. Say,
hab = hab + hab + hab . (106) 2 (M2) (MMab) (MabMcd)
The first term represents the quadratic piece of the Schwarzschild metric,
h00 2 = - 7r- 2M2, (M ) h0i 2 = 0, (107) (M ) hij 2 = - nijr-2M2. (M )
The second term in Equation (106View Equation) represents the dominant non-static multipole interaction, that is between the mass and the quadrupole moment, and that we now compute17. We apply Equations (39View Equation, 40View Equation, 41View Equation, 42View Equation, 43View Equation) in Section 4. First we obtain the source for this term, viz.
ab ab ab /\(MMab) = N [h(M),h(Mab)] + N [h(Mab),h(M)], (108)
where ab N (h,h) denotes the quadratic-order part of the gravitational source, as defined by Equation (16View Equation). To integrate this term we need some explicit formulas for the retarded integral of an extended (non-compact-support) source having some definite multipolarity l. A thorough account of the technical formulas necessary for handling the quadratic and cubic interactions is given in the appendices of Refs. [21] and [19Jump To The Next Citation Point]. For the present computation the crucial formula corresponds to a source term behaving like 2 1/r:
[^n ] integral + oo [] -re1t -L2 F (t- r) = - ^nL dxQl(x)F (t - rx), (109) r 1
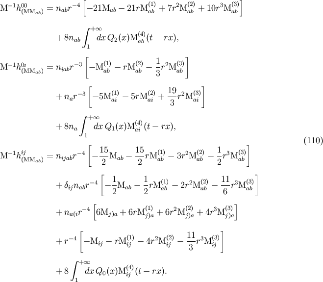
where Q l is the Legendre function of the second kind18. With the help of this and other formulas we obtain the object uab2 given by Equation (39View Equation). Next we compute the divergence wa = @muam 2 2, and obtain the supplementary term vab 2 by applying Equations (42View Equation). Actually, we find for this particular interaction wa = 0 2 and thus also ab v2 = 0. Following Equation (43View Equation), the result is the sum of ab u2 and ab v2, and we get
[ ] -1 00 -4 (1) 2 (2) 3 (3) M h(MMab) = nabr - 21Mab - 21rM ab + 7r M ab + 10r M ab integral + oo (4) + 8nab dxQ2(x)M ab (t- rx), 1 [ 1 ] M -1h0(iMM ) = niabr-3 -M(1a)b - rM(2a)b - -r2M(3a)b ab 3 [ ] + n r-3 - 5M(1) - 5rM(2) + 19r2M(3) a ai ai 3 ai integral +o o (4) + 8na dx Q1(x)M ai (t - rx), 1 (110) [ 15 15 1 ] M -1hi(jMMab) = nijabr -4 - ---Mab - ---rM(1a)b - 3r2M(2a)b - --r3M(3a)b 2 2 2 [ ] + dijnabr-4 - 1-Mab - 1rM(1) - 2r2M(2) - 11-r3M(3) 2 2 ab ab 6 ab [ ] + na(ir-4 6Mj)a + 6rM(1) + 6r2M(2) + 4r3M(3) j)a j)a j)a [ ] - 4 (1) 2 (2) 11-3 (3) + r - Mij - rM ij - 4r M ij - 3 r M ij integral + oo (4) + 8 dxQ0(x)M ij (t- rx). 1
The metric is composed of two types of terms: “instantaneous” ones depending on the values of the quadrupole moment at the retarded time u = t - r, and “non-local” or tail integrals, depending on all previous instants t- rx < u.

Let us investigate now the cubic interaction between two mass monopoles M with the quadrupole Mab. Obviously, the source term corresponding to this interaction reads

/\ab = N ab[h ,h ] + N ab[h ,h ] + N ab[h 2 ,h ] + N ab[h ,h 2] (M2Mab) (M) (MMab) (MMab) (M) (M ) (Mab) (Mab) (M ) + M ab[h(M),h(M),h(Mab)] + M ab[h(M),h(Mab),h(M)] + M ab[h(Mab),h(M),h(M)] (111)
(see Equation (33View Equation)). Notably, the N-terms in Equation (111View Equation) involve the interaction between a linearized metric, h(M) or h(Mab), and a quadratic one, h(M2) or h(MMab). So, included into these terms are the tails present in the quadratic metric h(MMab) computed previously with the result (110View Equation). These tails will produce in turn some “tails of tails” in the cubic metric h 2 (M Mab). The rather involved computation will not be detailed here (see Ref. [19Jump To The Next Citation Point]). Let us just mention the most difficult of the needed integration formulas19:
[^nL integral + oo ] integral +o o F P [] -r1et --- dx Qm(x)F (t- rx) = ^nL dy F(-1)(t- ry) r { 1 i ntegral 1 integral } y dPl- + oo dQl- × Ql(y) dx Qm(x) dx (x) + Pl(y) dx Qm(x) dx (x) , (112) 1 y
where F(-1) is the time anti-derivative of F. With this formula and others given in Ref. [19Jump To The Next Citation Point] we are able to obtain the closed algebraic form of the metric hab2 (M Mab), at the leading order in the distance to the source. The net result is
integral +o o [ ( ) ( ) ( ) ] M -2h00 2 = nab dt M(5) - 4 ln2 -t- - 4 ln -t- + 116-ln -t-- - 7136- (M Mab) r 0 ab 2r 2r 21 2r0 2205 ( ) + O 1- , r2 integral + oo [ ( ) ( ) ] M -2h0i 2 = ^niab- dt M(5) - 2-ln t-- - -4--ln -t-- - -716- (M Mab) r 0 ab 3 2r 105 2r0 1225 integral +o o [ ( ) ( ) ( ) ] + na- dt M(5) - 4 ln2 -t- - 18-ln t-- + 416-ln -t-- - 22724- r 0 ai 2r 5 2r 75 2r0 7875 ( ) + O 1- , r2 integral + oo [ ( ) ] (113) M -2hij = ^nijab- dt M(5) - ln t-- - 191- (M2Mab) r 0 ab 2r 210 integral + oo [ ( ) ( ) ] + dijnab dt M(5) - 80ln -t- - 32-ln -t-- - 296- r 0 ab 21 2r 21 2r0 35 integral + oo [ ( ) ( ) ] + ^na(i dt M(5) 52-ln t-- + 104-ln -t-- + 8812- r 0 j)a 7 2r 35 2r0 525 integral +o o [ ( ) ( ) ( ) ] + 1- dt M(5) - 4 ln2 -t- - 24-ln t-- + 76ln t--- - 198- r 0 ij 2r 5 2r 15 2r0 35 ( ) + O 1- , r2
where all the moments Mab are evaluated at the instant t- r - t (recall that c = 1). Notice that some of the logarithms in Equations (113View Equation) contain the ratio t/r while others involve t /r0. The indicated remainders O(1/r2) contain some logarithms of r; in fact they should be more accurately written as o(re-2) for some e« 1.

The presence of logarithms of r in Equations (113View Equation) is an artifact of the harmonic coordinates xa, and we need to gauge them away by introducing the radiative coordinates a X at future null infinity (see Theorem 4). As it turns out, it is sufficient for the present calculation to take into account the “linearized” logarithmic deviation of the light cones in harmonic coordinates so that Xa = xa + Gqa1 + O(G2), where qa1 is the gauge vector defined by Equation (51View Equation) (see also Equation (100View Equation)). With this coordinate change one removes all the logarithms of r in Equations (113View Equation). Hence, we obtain the radiative metric

Nab integral + oo (5) [ ( t ) 32 ( t ) 7136 ] M -2H00(M2Mab) = ---- dt M ab - 4ln2 ---- + ---ln ---- - ----- R 0 2r0 21 2r0 2205 ( ) + O -1- , R2 integral [ ( ) ] -2 0i N^iab +o o (5) -74- -t-- -716- M H (M2Mab) = R dt M ab - 105 ln 2r - 1225 0 0 N integral + oo [ ( t ) 146 ( t ) 22724] + -a- dt M(5a)i - 4ln2 ---- + ----ln ---- - ------ R 0 2r0 75 2r0 7875 ( ) + O -1- , R2 integral [ ( ) ] (114) -2 ij N^ijab + oo (5) t 191 M H (M2Mab) = --R-- dt M ab - ln 2r-- - 210- 0 0 d N integral + oo [ 16 ( t ) 296 ] + ij--ab dt M(5a)b - ---ln ---- - ---- R 0 3 2r0 35 integral [ ( ) ] ^Na(i +o o (5) 52- -t-- 8812- + R dt M j)a 5 ln 2r0 + 525 0 1 integral + oo (5)[ ( t ) 4 ( t ) 198 ] + -- dt M ij - 4ln2 ---- + ---ln ---- - ---- R 0 2r0 15 2r0 35 ( ) + O -1- , R2
where the moments are evaluated at time U - t =_ T - R - t. It is trivial to compute the contribution of the radiative moments UL(U ) and VL(U ) corresponding to that metric. We find the “tail of tail” term reported in Equation (97View Equation).


  Go to previous page Go up Go to next page