Go to previous page Go up Go to next page

10.4 The two polarization waveforms

The theoretical templates of the compact binary inspiral follow from insertion of the previous solutions for the 3.5PN-accurate orbital frequency and phase into the binary’s two polarization waveforms h+ and h ×. We shall include in h+ and h× all the harmonics, besides the dominant one at twice the orbital frequency, up to the 2.5PN order, as they have been calculated in Refs. [464Jump To The Next Citation Point]. The polarization waveforms are defined with respect to two polarization vectors p = (pi) and q = (qi),
h+ = 1-(pipj - qiqj)hTTij , 2 (237) h × = 1-(piqj + pjqi)hTT , 2 ij
where p and q are chosen to lie along the major and minor axis, respectively, of the projection onto the plane of the sky of the circular orbit, with p oriented toward the ascending node N. To the 2PN order we have
2Gmx { ( 1 )} h+,× = ------ H(0+),× + x1/2H(1+/,×2)+ xH(1+),× + x3/2H(3+/,2×)+ x2H(2+),× + x5/2H(5+/,2×) + O -- . c2R c6 (238)
The post-Newtonian terms are ordered by means of the frequency-related variable x. They depend on the binary’s 3.5PN-accurate phase f through the auxiliary phase variable
( ) 2GMw w y = f - ---3---ln --- , (239) c w0
where M = m [1- ng/2 + O (1/c4)] is the ADM mass (cf. Equation (226View Equation)), and where w0 is a constant frequency that can conveniently be chosen to be the entry frequency of a laser-interferometric detector (say w0/p = 10 Hz). For the plus polarization we have42
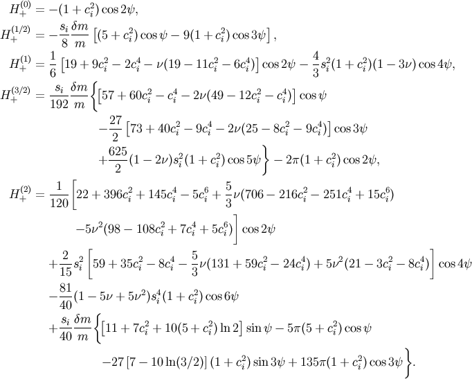
H(0)= - (1 + c2)cos 2y, + i H(1/2)= - sidm--[(5 + c2)cos y - 9(1 + c2)cos3y], + 8 m i i (1) 1 [ 2 4 2 4 ] 4 2 2 H+ = -- 19 + 9ci- 2c i- n(19 - 11c i- 6ci) cos 2y - -si(1 + ci)(1 - 3n) cos4y, 6 {[ ] 3 H(3/2)= -si-dm-- 57 + 60c2 - c4 - 2n(49 - 12c2 - c4) cos y + 192 m i i i i 27 [ 2 4 2 4 ] - --- 73 + 40ci- 9c i- 2n(25 - 8c i- 9ci) cos 3y 2 } + 625(1 - 2n)s2(1 + c2)cos 5y - 2p(1 + c2)cos2y, 2 i i i 1 [ 5 H(+2)= ---- 22 + 396c2i + 145c4i - 5c6i + -n(706 - 216c2i- 251c4i + 15c6i) 120 3] 2 2 4 6 -5n (98- 108ci + 7ci + 5ci) cos2y [ ] 2--2 2 4 5- 2 4 2 2 4 + 15si 59 + 35ci- 8ci- 3n(131 + 59ci - 24ci) + 5n (21 - 3ci - 8ci) cos 4y 81 - --(1 - 5n + 5n2)s4i(1 + c2i)cos 6y 40 { sidm-- [ 2 2 ] 2 + 40 m 11 + 7ci + 10(5 + ci)ln 2 sin y - 5p(5 + ci)cos y } - 27 [7 - 10 ln(3/2)](1 + c2)sin 3y + 135p(1 + c2)cos3y . i i
For the cross polarization, we have
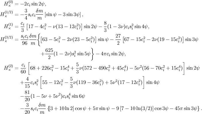
H(0) = - 2c sin2y, × i H(1/2)= - 3-sc dm--[sin y - 3 sin 3y], × 4 ii m (1) ci[ 2 2 ] 8 2 H × = -- 17 - 4ci- n(13 - 12ci) sin2y - -(1 - 3n)cisi sin4y, 3 {[ ] 3 [ ] H(3/2)= sicidm-- 63 - 5c2 - 2n(23 - 5c2) siny - 27- 67- 15c2- 2n(19 - 15c2) sin3y × 96 m i i 2 i i 625 } + ----(1- 2n)s2i sin5y - 4pcisin2y, [ 2 ] (2) ci- 2 4 5- 2 4 2 2 4 H × = 60 68 + 226ci- 15ci + 3n(572 - 490c i + 45c i)- 5n (56 - 70c i + 15ci) sin 2y [ ] + -4-cs2 55 - 12c2 - 5-n(119 - 36c2) + 5n2(17- 12c2) sin4y 15 i i i 3 i i 81 - ---(1- 5n + 5n2)cis4i sin 6y 20 - -3-s cdm--{[3 + 10 ln2]cos y + 5p sin y - 9 [7 - 10 ln(3/2)]cos3y - 45p sin 3y}. 20 i im
We use the shorthands c = cosi i and s = sini i for the cosine and sine of the inclination angle i between the direction of the detector as seen from the binary’s center-of-mass, and the normal to the orbital plane (we always suppose that the normal is right-handed with respect to the sense of motion, so that 0 < i < p). Finally, the more recent calculation of the 2.5PN order in Ref. [4] is reported here:
(5/2) H + = ... (240) (5/2) H × = ... (241)


The practical implementation of the theoretical templates in the data analysis of detectors follows the standard matched filtering technique. The raw output of the detector o(t) consists of the superposition of the real gravitational wave signal hreal(t) and of noise n(t). The noise is assumed to be a stationary Gaussian random variable, with zero expectation value, and with (supposedly known) frequency-dependent power spectral density S (w) n. The experimenters construct the correlation between o(t) and a filter q(t), i.e.
integral + oo ' ' ' c(t) = - oo dt o(t )q(t + t), (242)
and divide c(t) by the square root of its variance, or correlation noise. The expectation value of this ratio defines the filtered signal-to-noise ratio (SNR). Looking for the useful signal hreal(t) in the detector’s output o(t), the experimenters adopt for the filter
~ ~q(w) = -h(w)-, (243) Sn(w)
where ~q(w) and ~h(w) are the Fourier transforms of q(t) and of the theoretically computed template h(t). By the matched filtering theorem, the filter (243View Equation) maximizes the SNR if h(t) = hreal(t). The maximum SNR is then the best achievable with a linear filter. In practice, because of systematic errors in the theoretical modelling, the template h(t) will not exactly match the real signal hreal(t), but if the template is to constitute a realistic representation of nature the errors will be small. This is of course the motivation for computing high order post-Newtonian templates, in order to reduce as much as possible the systematic errors due to the unknown post-Newtonian remainder.

To conclude, the use of theoretical templates based on the preceding 2.5PN wave forms, and having their frequency evolution built in via the 3.5PN phase evolution (234View Equation, 235View Equation), should yield some accurate detection and measurement of the binary signals. Interestingly, it should also permit some new tests of general relativity, because we have the possibility of checking that the observed signals do obey each of the terms of the phasing formulas (234View Equation, 235View Equation), e.g., those associated with the specific non-linear tails, exactly as they are predicted by Einstein’s theory [47485]. Indeed, we don’t know of any other physical systems for which it would be possible to perform such tests.


  Go to previous page Go up Go to next page